Konsep logaritma sifat-sifat, contoh soal dan pembahasan fungsi logaritma

Konsep logaritma sifat-sifat, contoh soal dan pembahasan fungsi logaritma|dionhandoko.blogspot.com
 LOGARITMA

HUBUNGAN EKSPONEN dengan LOGARITMA

Bentuk pangkat

Bentuk logaritmanya adalah ;


SIFAT-SIFAT FUNGSI LOGARITMA
CONTOH SOAL 


PERTEMUAN 1.4

LANJUTAN MATERI KONSEP LOGARITMA

SIFAT LOGARITMA LANJUTAN







LATIHAN SOAL LOGARITMA DASAR


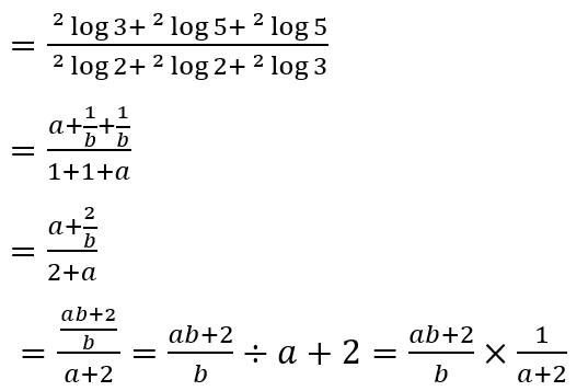
PEMBAHASAN SOAL LATIHAN





PERTEMUAN 1.5

PENYELESAIAN LOGARITMA DENGAN 

KONSEP