



STATISTIKA
· Rata—rata / mean
Data
Tunggal dan Data berkelompok
contoh soal rata-rata data tunggal
Tentukanlah nilai rata-rata dari data 5, 7, 6, 5, 4, 2
Jawaban ;
Tentukanlah
rata-rata dari data tabel di atas ?
Jawaban
:
Jawaban ;
1. Tentukanlah modus dari data berikut ; 1, 5, 8, 7, 6, 5, 8, 8, 10, 7
jawaban ; Modusnya adalah 8
|
Nilai |
Frekuensi |
|
53 – 57 |
5 |
|
58 – 62 |
10 |
|
63 –
67 |
16 |
|
68 – 72 |
12 |
|
73 – 77 |
8 |
|
78 - 82 |
4 |
tentukanlah nilai Modusnya.
|
Nilai |
Frekuensi |
|
37 – 41 |
8 |
|
42 – 48 |
12 |
|
47 – 51 |
20 |
|
52 – 56 |
14 |
|
57 – 61 |
10 |
|
62 - 66 |
6 |
Tentukanlah nilai modusnya.
L = 47
– 0,5 = 46,5
d1
= 20 – 12 = 8
d2 =
20 – 14 = 6
PERTEMUAN
1.4
Menentukan
nilai MEDIAN dan MODUS dari data suatu kelompok
1. Diketahui data berat badan sejumlah siswa sebagai berikut. Rata-rata dan Modus dari data di bawah ini adalah…
|
Beban Badan (Kg) |
Frekuensi |
|
40-44 |
3 |
|
45-49 |
8 |
|
50-54 |
12 |
|
55-69 |
10 |
|
60-64 |
7 |
Nilai Mean dan Modus dari data di atas adalah . . . .
3. Dari data pada tabel distribusi frekuensi berikut ini, tentukanlah nilai rata-rata dan nilai modusnya
· 1.
|
Beban Badan (Kg) |
Frekuensi |
Nilai tengah xi |
|
40-44 |
3 |
42 |
|
45-49 |
8 |
47 |
|
50-54 |
12 |
52 |
|
55-69 |
10 |
57 |
|
60-64 |
7 |
62 |
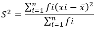
Frekuensi total = 40
- RATA-RATA =
- MODUS
|
NILAI |
FREKUENSI |
Nilai
tengah |
|
24
– 28 |
5 |
26 |
|
29
– 33 |
9 |
31 |
|
34
– 38 |
12 |
36 |
|
39
– 43 |
11 |
41 |
|
44
– 48 |
8 |
46 |
|
49
- 53 |
5 |
51 |
|
|
- RATA-RATA
|
Nilai |
Frekuensi |
Nilai
tengah |
|
50
– 54 |
3 |
52 |
|
55
– 59 |
12 |
57 |
|
60
– 64 |
23 |
62 |
|
65
– 69 |
8 |
67 |
|
70
- 74 |
4 |
72 |
- RATA-RATA
- MODUS
|
Nilai |
Frekuensi |
Frekuensi kumulatif |
|
32 – 38 |
3 |
3 |
|
39 – 45 |
7 |
10 |
|
46 – 52 |
10 |
20 |
|
53 –
59 |
14 |
34 |
|
60 – 66 |
9 |
43 |
|
67 - 73 |
5 |
48 |
Tentukanlah median dari data di bawah ini
|
Nilai |
Frekuensi |
Frekuensi kumulatif |
|
21 – 30 |
8 |
8 |
|
31 – 40 |
10 |
18 |
|
41 – 50 |
14 |
32 |
|
51 – 60 |
20 |
52 |
|
61 – 70 |
18 |
70 |
|
71 - 80 |
10 |
80 |
JAWABAN
|
Nilai |
Frekuensi |
|
32 – 38 |
3 |
|
39 – 45 |
7 |
|
46 – 52 |
10 |
|
53 – 59 |
14 |
|
60 – 66 |
9 |
|
67 - 73 |
5 |
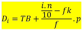
Tentukanlah nilai Kuartil atas / Q3 dan kuartil
bawah / Q1
JAWABAN
|
Nilai |
Frekuensi |
Frekuensi
kumulatif |
|
32 – 38 |
3 |
3 |
|
39 – 45 |
7 |
10 |
|
46 – 52 |
10 |
20 |
|
53 – 59 |
14 |
34 |
|
60 – 66 |
9 |
43 |
|
67 - 73 |
5 |
48 |
|
Berat badan |
Frekuensi |
FK |
|
35 - 39 |
4 |
4 |
|
40 - 44 |
6 |
10 |
|
45 - 49 |
8 |
18 |
|
50 - 54 |
10 |
28 |
|
55 - 59 |
5 |
33 |
|
60 - 64 |
7 |
40 |
|
Berat badan |
Frekuensi |
FK |
|
35 - 39 |
4 |
4 |
|
40 - 44 |
6 |
10 |
|
45 - 49 |
8 |
18 |
|
50 - 54 |
10 |
28 |
|
55 - 59 |
5 |
33 |
|
60 - 64 |
7 |
40 |
|
Berat
Badan |
Frekuensi |
FK |
|
41
– 43 |
6 |
6 |
|
44
– 46 |
5 |
11 |
|
47
- 49 |
10 |
21 |
|
50
– 52 |
9 |
30 |
|
53
– 55 |
8 |
38 |
|
56
- 58 |
7 |
45 |
|
Nilai |
Frekuensi |
Fk |
|
28
– 31 |
6 |
6 |
|
32
– 35 |
12 |
18 |
|
36
– 39 |
25 |
43 |
|
40
– 43 |
22 |
65 |
|
44
– 47 |
10 |
75 |
|
48
- 51 |
5 |
80 |






































